「斜率割线」什么是切线斜率(割线斜率和切线斜率在导数中的应用详解)
今天,神州网给大家普及下关于「斜率割线」什么是切线斜率(割线斜率和切线斜率在导数中的应用详解)的知识。
注:本篇内容涉及一小部分大学微积分中的知识点,但是会尽量用图示描述清楚,另外本篇内容仅供参考,可以加深对数学的理解,尽量不要使用在高中阶段数学的答题过程中。
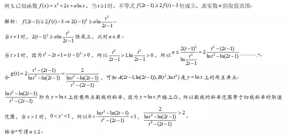
关于切割线斜率的问题其实在高中阶段中已经遇到了,例如在导数双变量问题中若要证明的不等式包括f(x1),f(x2),x1,x2,常见的做法要么利用单调性构造函数,要么将二元转化为一元,而在利用单调性构造函数的这种题目中很大一部分就涉及了割线斜率的问题,例如:
这种题目的难度不算大,利用函数在区间内的单调性求参数范围即可,在2019年浙江高考数学第16题中也涉及到割线的斜率问题,具体可点击下面链接回顾:复盘2019年浙江高考数学第16题
今天的内容是研究此类问题能否利用割线斜率和切线斜率的关系解决此类问题,但是相比于常规做法,今天的内容并不会带来很大的在解题上的飞跃,且绝对不可出现在大题解题过程中。
首先我们来看一组图像,以y=lnx为例,可知函数在定义域内单调递增,凸凹性为上凸函数,(文章的结尾会附上函数凸凹性的知识点链接),y'=1/x,y''=-(1/x)²<0,函数无拐点(凸凹性发生转变的点,即二阶导数为零的点),我们在函数上任取不同的两点x1,x2,连接这两点所成的割线斜率能否和图像上某点处的切线斜率相等?当然可以,如下:
在上图中这种凸凹性单一的函数很明显符合要求,如果我们把两点割线斜率集合设为P,函数上任意一点处切线斜率的集合设为Q,很明显可知P=Q,在大学中拉格朗日中值定理描述的就是此类问题,定理如下:
定理中是至少存在一点,当然也可能不止一点,在含有拐点的函数中,这种的值就不止一个,如下所示:
所以在单一凸凹性函数中我们可以直接利用一下结论,注意以下不等式中均有等号,不含等号的在下面会给出。
注意上题中的函数的凸凹性并不单一,为什么还可以直接把割线斜率看做切线斜率,下面会给出,如果在含有拐点的函数中,我们以三次函数为例,看看这个时候两点间割线的斜率和函数上任意一点的斜率是什么关系,函数选为y=x³-2x²+1,y'=3x²-4x,f''(x)=6x-4,令f''(x)=0,得x=2/3,函数存在拐点2/3,在这点左右两侧凸凹性相反,根据上面可知,在x=2/3以左和以右均满足割线斜率所在集合与切线斜率所在集合相等,但是在拐点处的切线斜率并不和两点间斜率相等,如下图:
设函数图像上任意不同两点形成的割线斜率所在的集合为P,函数上任意一点处切线斜率的集合设为Q,此时P≠Q,P是Q的真子集,所以在凸凹性不严格单一的函数中我们需要注意拐点处的斜率到底取不取。
直接利用切线斜率求得的参数值需要注意端点值能否取到,最后可以做一个验证,当端点值取到时,函数上任意一点处的斜率都小于等于2,此时割线的斜率就取不到拐点处的切线斜率,故端点值能取到,图示如下:
总结:
1.割线与切线斜率的关系了解即可,知道什么时候相等,什么时候割线斜率范围比切线斜率范围少一个。
2.这种方法并不比构造函数利用单调性求解简单,在大题中不可使用,小题中可适当使用
3.当存在拐点时,重点需要留意拐点处的切线斜率值能否取得,其实考虑不考虑拐点处切线的斜率,直接反映在最后的答案上不等式中有没有等于号,可以这么来记忆,原式中所求的不等式中存在等号,可以不考虑拐点处切线的斜率,直接按照割线斜率等于切线斜率来处理,也无需考虑有无拐点,当所求不等式没有等号时再需要考虑拐点处切线的斜率之能否取得。
有关函数凸凹性,拐点的问题可参考一下链接:【函数专题增补】函数的凹凸性在高中数学中的应用
 
				