「动能动量」什么是动能(物理上什么是动能)
今天,神州网给大家普及下关于「动能动量」什么是动能(物理上什么是动能)的知识。
动能不是动量
如果你是来挑刺抬杠的,那可以退出了,因为我的结论已经告诉你了。由于之前在粒子组工作习惯的原因,在这个视频里(探访欧洲核物理中心 了解改变世界的物理公式)可能给大家造成了关于动能动量的误解。介于有些朋友还在上中学,物理考试对于这方面有明确的规定,所以我觉得有必要讲一下这两个名词。
(以下所有的名词以英文为主,中文则为直译。因为我的参考资料全部来源于英文材料,外加我之前所学的这些名词都是先从英文学起的。不规范的中文翻译会导致误解,所以以英文名词为主。)
什么是动能(Kinetic Energy)?
动能(Kinetic Energy)描述了一个物体在运动时,由于它的运动所具有的能量。请注意这里动能(Kinetic Energy)描述了一个物体的能量(Energy)。什么是能量?能量是指一个物体对其他物理系统做功的能力(和我们广义上想的能量是一回事)。能量有好多种,包括了动能(Kinetic Energy)、势能(Potential Energy)、弹性能(Elastic Energy)、化学能(Chemical Energy)、辐射能(Radiant Energy)等。在中学物理中经常涉及的一类题目就是能量转化,更准确的说是重力势能与动能之间的转换。例如过山车类题目。在经典物理,低速度情况下(速度远远小于光速),动能(Kinetic Energy)可以写作为
有时也会使用KE代表动能(Kinetic Energy)。(能量为标量,也就是只描述大小,并没有其他的信息。这里我们会与下方的内容作对比。)注意这里和我们在对撞机计算粒子动能(Kinetic Energy)是不一样的公式,因为对撞机内粒子速度接近光速,所以要用相对论(relativistic)公式去计算动能(Kinetic Energy)。即便是在高速下一个粒子要用到不同的方式去计算动能(Kinetic Energy),但是这个物体还是会具有动能的(Kinetic Energy)。那在加速器中的粒子除了动能,还有什么其他的能量?还有就是一个物体它的质量(Mass)所带来的能量。这里的质量是指物体在静止情况下的质量(Rest Mass)。而爱因斯坦的质能转化公式就是描述了一个物体它所具有的质量能转换为多少的能量。
而湮灭反应(Annihilation)则会是目前唯一一种可以将质量全部转换为能量的一种反应。这种反应常会被考虑在未来航天器推进装置中。因为它会把全部的质量转换为能量,转换效率百分之百。是目前最高效的反应。而普通民用级太阳能板只有百分之二十不到,甚至有些低于百分之十。这里我们忽略掉由引力带来的能量,这是粒子物理研究的习惯。我们常说引力是一个特别弱的力,所以在粒子物理的研究中会被忽略掉。所以一个粒子在加速器中所具有的能量为动能(Kinetic Energy)加质量所提供的能量(Rest Mass Energy),这就是它所有的能量来源了。请记住这一点,我们会在之后用到这个内容。
什么是动量(Momentum)?
动量(Momentum)的定义就是它是一个物理速度(velocity)和质量的乘积。由于速度(velocity)为矢量(Vector),质量为标量(Scalar)。所以动量(Momentum)为矢量(Vector)。也就是说它不仅描述了一个物理性质数值上的大小,还给定了到底这个物理性质指向的方向。而在经典物理,低速度情况下(速度远远小于光速),动量(Momentum)可以写作为
注意这里动量(Momentum)表述的不是一个物体所具有的能量,而表述的是一个物体向哪个方向运动,有多大的趋势。而动能也可以由一个物体转换到另一个物体,类似于保龄球撞击球瓶就是动量转换的案例。他只要遵循动量守恒就可以(Conservation of Momentum),也就是撞击前保龄球与球瓶的动量(Momentum)等于撞击后保龄球与球瓶的动量(Momentum)就可以了。所以这就是为什么你的物理老师强调,动能和动量不一样的原因。
动能(Kinetic Energy)和动量(Momentum)有什么联系?
从观看他俩的等式我们就可以推导出来,在经典物理学,低速度情况下(速度远远小于光速)两个量的关系为
这个等式不仅关联了动能(Kinetic Energy)与动量(Momentum),而且还将等式右侧一个矢量转化为等式左侧的一个标量。举个例子,我们只考虑数字不考虑物理单位。
假如给定一个物体它的质量为1,它的动能(Kinetic Energy)为10,那它的动量(Momentum)平方为20.
又或者一个物体它的质量为10,动能(Kinetic Energy)为10,那它的动量(Momentum)平方为200.
再或者一个物体它的动量(Momentum)平方为20,但是质量为0.01. 那它的动能(Kinetic Energy)就为2000.
从这个例子中可以知道,假定你只测得了一个物体它的动能(Kinetic Energy)是多少,那么他很可能有多种情况。
可能是一个小质量物体具有小的动量(Momentum),
也有可能是一个大质量物体具有很大的动量(Momentum)。
再或者相同动量(Momentum)下,质量小的物体,他会具有非常大的动能(Kinetic Energy)。
所以很显然只知道动能(Kinetic Energy)并不能确定一个物体它的动量(Momentum),还需要知道它的质量是多少。所以他俩并不是一回事。
为什么会有误解?
我之前在粒子组工作,我们组主要是负责欧核中心CERN大型强子对撞机LHCb以及超低温低能粒子的内容。研究方向为CPT对称性破坏(CPT Symmetry Broken). 我所在这一章节讨论的内容不建议即将要进行物理考试的同学看,因为真的会造成概念上的混乱。我在这里聊的只是作为一个实验粒子组平时讨论问题的习惯,而并不会当作任何知识点记录在课本或者论文中。之所以想要分享这些内容,而不是严谨物理知识。是因为我想让大家看到真实情况下我们是怎么工作的。下面开始!
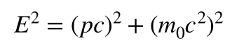
还记得我在“什么是动能(Kinetic Energy)?”部分讲的内容吗?一个在加速器中的粒子具有的能量来源于粒子本身质量带来的能量(Rest Mass Energy)以及运动所带来的能量。在粒子物理中,当一个粒子速度接近光速,那我们计算粒子总能量的方程就变为了
也就是Energy-momentum relation。c则为光速是固定的数值,而m0则是这个粒子的静止下的质量(Rest Mass)。可以把加号左侧看为由于物体运动所具有的能量,加号右侧为物质本身具有的能量。而恰恰是这里物体运动所具有的能量包含了动量p(Momentum)。我们之前说光知道一个物体的动量(Momentum)并不能知道一个物体的动能(Kinetic Energy),因为缺少质量有关的信息。而我们在粒子组所做的对撞实验,是完完全全知道所用的粒子是什么的。比如我们拿电子对撞,我们拿质子对撞,中子对撞。所以当我们在说一个电子它的动量(Momentum)是多少多少的时候,其中就包含了它的质量以及它的动量(Momentum)。也就是说知道了它的动能(Kinetic Energy)为多少。因为一个粒子它的质量(Rest Mass)是固定的或者说已知的,所以知道了动能(Kinetic Energy)就等于知道了动量(Momentum),反之亦然。这就是为什么我们会在粒子组工作的时候,把两者当成同一件事物。就是因为我们知道了前提条件,粒子的质量。而“能”和“量”之间只不过是比例关系。视频下方有评论还炫技在讨论虚拟粒子,虚拟粒子在不确定原理(Uncertainty Principle)的时间尺度内也是具有虚拟质量的。尽管两个物理量所描述的维度(Dimension)不同,但是由于他们是等比关系,在此情况下我们把它当作一类。这并不是严谨的物理定义或理论,只是我所在的粒子组工作习惯和方式罢了。
中学物理中,对任何的问题都会有精准的答案。但是真实的物理并不是你书本描述的那样。像是我们实验物理方向(Experimental Physics),有些情况下假如一个测量值和真实值相差十倍之内,我们就可以称为精确测量了。而并不是真实数值是多少,我们就必须测量到什么样的数,一分不差。物理有的时候是完美的,但物理有的时候也是肮脏的。作为一个深爱科学及物理的人来说,我一开始很难接受这些现实。但是正是因为这些的存在,使得我们才会去追寻到底真实的物理是怎样。真实的自然规律是如何。
