「军工板块」军工板块未来走势解析(军工板块受益俄乌战争走出五连阳)
今天,神州网给大家普及下关于「军工板块」军工板块未来走势解析(军工板块受益俄乌战争走出五连阳)的知识。
A股“喝酒吃肉”
今天统计局公布了2月份的PMI数据:2月份,中国制造业采购经理指数(PMI)为50.2%,比上月上升0.1个百分点,继续高于临界点,制造业景气水平略有上升;综合PMI产出指数为51.2%,比上月上升0.2个百分点,表明我国企业生产经营活动总体扩张步伐加快。
资料来源:统计局
有1月天量社融在前,2月份的PMI不算惊喜,整体有所回升,但小型企业PMI有所回落,说明之前稳增长政策初见成效,但又没到很好的的地步。
这其实算是利好,一则说明稳增长政策有效果,二则说明效果不足还需要继续刺激,放水不能停。
今天A股也走的颇为纠结,早盘开盘新能车、光伏、半导体等高景气赛道冲高,特别是光伏,一度涨超3%。
随后部分资金借着利好出货,赛道冲高回落,资金切到白酒、农业、煤炭等低位板块,午盘金融、地产拉伸,三大指数收盘齐齐收涨。
截止收盘,上证指数涨幅为0.77%,深证成指涨幅为0.24%,创业板指涨幅为0.16%。北向资金今天净买入32.76亿,为连续第三天买入,两市成交额与昨天几乎持平,为0.96万亿。
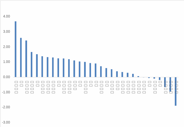
分行业来看,申万一级行业中涨多跌少,其中农林牧渔、煤炭、食品饮料、国防军工、通信等行业领涨,有色金属、石油石化、基础化工等行业下跌。
有色金属、石油石化基本是上周俄乌战争突发时市场资金炒作的方向,今天补跌可能是市场预期俄乌冲突会缓和。
资料来源:Choice数据
如何看待军工近期反弹
从近两年军工走势来看,军工和创业板指有较大的相关性,短期受流动性和市场风险偏好影响大,一般和新能车、半导体等赛道一荣俱荣、一损俱损。
但是,今天赛道回落过程中,军工走的异常坚挺,而且军工近期走势也比较强,连续走出五根阳线,底部反弹幅度接近九个点。
资料来源:Choice数据
有朋友可能觉得军工行情是不是受俄乌战争刺激?
有一定的道理,但又不全是。
俄乌战争对军工板块行情有两个方面影响:第一个是情绪面,历史上来看,军工板块确实会对地缘摩擦比较敏感,会因为战争等地缘摩擦出现脉冲性行情,但是这种题材炒做的特性在近两年越来越不明显,而是越来越回归基本面投资。
比如,军工板块去年的大行情是中航沈飞、航发动力和洪都航空为代表的主机厂披露大额合同负债确认行业高景气所引发的,而去年12月以来的调整是由于集团利润调节年报业绩预告大幅不及预期所导致的。
再回到俄乌战争的第二个影响,俄乌战争可能会促使部分国家增加国防开支,这将会增强军工板块景气度。
就上个月27日,在德国议会的一次紧急会议上,朔尔茨宣布德国国防军将获得1000亿欧元的专项资金用于国防现代化。
同时,从今年开始,德国每年用于国防的开支将超过本国GDP的2%。
本周五两会即将召开,今年的国防预算也会公布,也许有资金进场博弈国防预算,记得去年两会后,博弈国防预算的资金离场导致军工板块大幅回调。
去年的国防预算增速是6.8%,至于今年的,“军工一哥”冯福章给的预测是7%-7.5%之间。
其实国防预算大概率只会影响军工板块短期走势,去年国防预算增速不算惊喜,但也不影响军工板块走牛。
一方面,军民融合和军贸给军工板块打开了空间,是军工板块长期高速发展的“第二曲线”,比如国产大飞机C919;另一方面国防开支内部,装备费比例也是在提高。
从中期看,2027年要实现建军百年奋斗目标,未来五年会进入装备加速列装放量期。
从长期来看,军工产业是国家层面的必选消费,随着我国经济实力的提升和世界地缘博弈的加剧,军工的战略性地位会不断加强,到本世纪中叶(2050年)要全面建成世界一流军队,军工板块具有长期的高确定性。
最后,军工板块的估值已杀到合理水平,截止2022年2月28日,中证军工指数PE(TTM)为65.17,历史百分位为32.65%,只比历史上32.65%的时间要高。
可以看到,近两年军工板块虽然有过几轮牛市行情,但指数始终运行在PEBAND 下轨,相比新能车、半导体,估值很少出现严重泡沫化,指数涨幅主要靠盈利贡献,这也是军工回归基本面投资的一种表现。
